Sin hacerlo público, Peña negociaba dar el asilo desde 2018

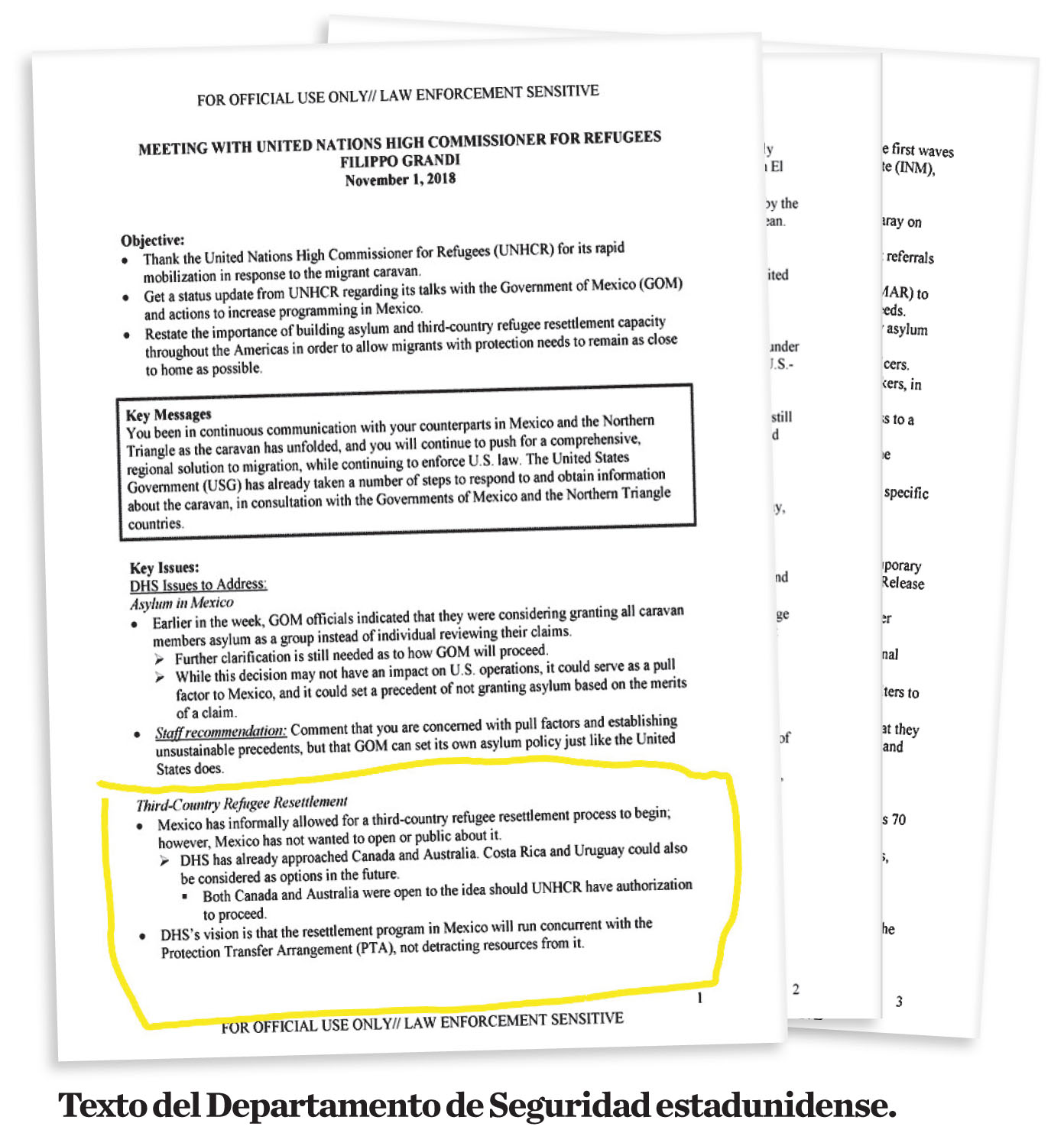
Documento de DHS. México “ha permitido informalmente que inicie un proceso para trasladar refugiados”.

Migrantes centroamericanos en el Instituto Nacional de Migración.
Texto del Departamento de Seguridad estadunidense. (Especial)
Verónica Díaz
Ciudad de México /

Desde el gobierno anterior, México permitió de manera informal convertirse en tercer país seguro para albergar a solicitantes de refugio en Estados Unidos mientras se resolvía su trámite, pero sin hacerlo público.

Un documento del Departamento de Seguridad Interna de EU (DHS por sus siglas en inglés) señala que “México ha permitido informalmente que comience un proceso como Tercer-País para el traslado de refugiados; sin embargo, México no ha querido hacerlo abiertamente o de manera pública”.

Ante la primera caravana de centroamericanos que cruzó la frontera mexicana para dirigirse a ese país, en octubre de 2018, el texto se elaboró para una reunión de la secretaria de Seguridad, Kirstjen Nielsen, con Filippo Grandi, el alto comisionado de las Naciones Unidas para los Refugiados (ACNUR), el 1 de noviembre de 2018.

En éste se agregó que esa misma semana funcionarios mexicanos indicaron que estaban considerando otorgar asilo a todos los miembros de la caravana como grupo, en lugar de revisar las solicitudes individuales. También advirtió que ello “podría ser un factor de atracción hacia México y sentar un precedente de no otorgar asilo en función de los méritos de una solicitud”.

Además, el DHS señaló que el gobierno estadunidense se acercó también a “Canadá y Australia. Costa Rica y Uruguay también podrían considerarse como opciones (para un acuerdo de tercer país) en el futuro”.

En el documento se señala que entre el 18 y 23 de octubre de 2018, el DHS recibió información biométrica de 153 miembros de la caravana con antecedentes penales, además de que había no solo centroamericanos, sino personas de India, Bangladesh, Camerún, Congo, Haití, Nepal, Pakistán, Sri Lanka, Angola, Eritrea, Etiopía, Ghana, Afganistán, Somalia, Yemen y Sierra Leona, por lo que se insistió en capturar información de sus integrantes para descubrir infiltrados.

También informa que el gobierno de México “ha estado de acuerdo en solicitar las tarjetas de CURP para utilizarlas en los buscadores de asilo, además del reconocimiento de refugiados, lo cual permitirá moverlos fuera de Chiapas. Esto facilitará los servicios para los refugiados en Chiapas para que tengan acceso al mercado laboral.

LAS MÁS VISTAS